Tampilan Laporan
Ada 15 jenis laporan yang dapat ditampilkan pada aplikasi ini. 7 Jenis di antaranya adalah sebagaimana tercantum dalam PERMENDAGRI RI NOMOR 17 TAHUN 2007 TENTANG PEDOMAN TEKNIS PENGELOLAAN BARANG MILIK DAERAH :b. Buku Penerimaan Barang (Lampiran 8)
c. Buku Pengeluaran Barang (Lampiran 9)
d. Buku Barang Pakai Habis (Lampiran 11)
e. Kartu Barang (Lampiran 12)
f. Kartu Persediaan Barang (Lampiran 13)
g. Laporan Semesteran (Lampiran 15)
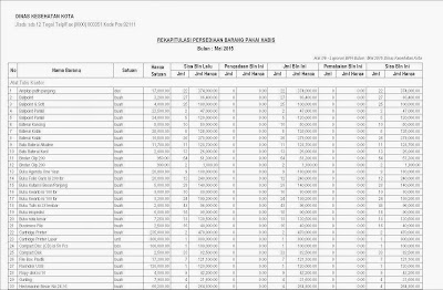
Berikut contoh tampilan yang dihasilkan dari aplikasi ini :








No comments :
Post a Comment